「よくわかる電磁気学」(東京図書)サポート掲示板 †
よくわかる電磁気学サポートページに戻る
- mathjaxを使って、TeX形式で数式を打てるようにしてあります。$または$$(もちろんほんとは全角じゃなく半角の「ドル」です)で囲んで入力してください。
- spam避けに、httpを含む文章と、英字のみの文章は登録できなくしてあります。
p142 問いについて †
(2024-08-18 (日) 15:12:28)
コンデンサーの電位差を求める際、問4-2では絶対値をつけ,問4-3ではつけずに計算しているのはなぜですか?
- 実際のところ、ここは電位差は正の量として考えるので、どっちも絶対値は要るといえば要ります。問い4-3は同様の計算だから説明をとばしているだけです。 -- 前野?
- 返信ありがとうございます。僕も最初はそれで納得していたのですが、よくよく考えると分極のエネルギーは-PEなので、むしろ分極のエネルギーを引いているのではないかと思いました。 -- 大学生?
p140 電場内に置かれた導体球について †
物理科? (2024-08-18 (日) 14:14:03)
導体内で電位が一定ということは理解できましたが、ここでは「p=4$pi$ $epsilon$R^3 とすれば」とあり、なぜそのように双極子モーメント決めてよいのかがわからないです。
- すぐ上に書いてあるように、「$r=R$において$V_球=ER\cos\theta$になるようなもう一つの真空での電位の式」を探してます。そうなるように$p$を決めると$p=4\pi \varepsilon_0 ER^3$になります。 -- 前野?
- 電位=定数 (r=R)になるように、Vを決めたということでしょうか? -- 物理科?
- この時の定数は勝手に決めてもよいのですか?? -- 物理科?
- いや、勝手に決めてません。$ER\cos\theta$になるように決めてます。$E$は外部の電場だし、$R$は球の半径という決まった量なので、あとからいじったりできません。 -- 前野?
- どこにも、勝手に決められる定数はないはずです。 -- 前野?
- 返信ありがとうございます。すいません、このERcosΘはどこからでてきているのですか? -- 物理科?
- 返信ありがとうございます。すいません、このERcosΘはどこからでてきているのですか? -- 物理科?
- p140の図の上あたりに書いてあるのですが、外部から与えられた電場の電位は$V_外=-Ez=-Er\cos\theta$です。$V_球$は、$V_外$と足し算すると$r=R$で0になるように作ります。そこは読んでなお意味がわからないのでしたら、どこでわからなくなっているかを質問してください。 -- 前野?
- 度々すいません。電位が一定になるように、V球を設定することまでは分かりました。この時足して0になるようにするのが分からないです。ーERcosΘのE,Rは定数でcosΘを消すためにERcosΘを足しているということですか? -- 物理科?
- 度々すいません。電位が一定になるように、V球を設定することまでは分かりました。この時足して0になるようにするのが分からないです。ーERcosΘのE,Rは定数でcosΘを消すためにERcosΘを足しているということですか? -- 物理科?
- 「定数にする」という目的でちょうど0になる量を足してます(もちろん、0でなくても$r=R$の面上で定数になればいいのですが、一番簡単なのは0にすることです)。 -- 前野?
p105 電位のゴムのイメージについて †
初学者? (2024-08-04 (日) 15:37:37)
「極大値や極小値があるとその場所でつりあうことはない」というのがよくイメージできないのですが、どういうふうに考えれば良いかご教授いただけると幸いです。
- ゴムは復元力(平面に戻そうとする力)があるので、「山(極大値)」の場所では必ず下向きの力が発生します(極小値はこの逆)。ゴム膜(なんならゴムひもでもできますが)を手にとって実感してみてください。 -- 前野?
- ご返信ありがとうございました。 -- 初学者?
式? †
物理のヒヨコ? (2024-07-23 (火) 13:26:28)
今日は、お世話になります。
P.148のコンデンサによってできる電場E(ベクトル)がQ/ε₀S(スカラーの
定数?)という「式」が厳密には正しくなかった・・という文に若干違和感を感じるのですが、これは、電場Eの大きさ or 強さがQ/ε₀S(定数?)というのは厳密には正しくなかったと解釈すれば良いのでしょうか?また同様に、
厳密にはこのP/ε₀(スカラーの定数?)という「式」は正しくないという
文は、P/ε₀(定数?)というのは正しくないと解釈して良いのでしょうか?
- 実際どうなのかはその下の図に書いてあるように、「電気力線が外にふくらむ」ことにより、${P\over\varepsilon_0}$より小さくなる(定数ではない)し、外でも0ではありません。板が平べったい場合には近似としては正しいという意味で「厳密には正しくない」です。 -- 前野?
- 厳密には、コンデンサによってできる(ベクトルの)電場Eの大きさor強さが、Q/ε₀S(スカラー)より少し小さくor弱くなるのと同様に、分極による(ベクトルの)電場-P/ε₀の大きさor強さが、P/ε₀(スカラー)より少し小さくor弱くなるという事ですか? -- 物理のヒヨコ?
- そういうことです -- 前野?
- 返答ありがとうございました。 -- 物理のヒヨコ?
p45その他について †
小笠原? (2024-07-22 (月) 16:47:53)
p301 rotA(円筒座標)の式で、e_zの係数の中にあるArはAρではないでしょうか?
こちらは質問です。
p45 2.1 3行目に、「たとえばこの性質だけから逆にクーロンの法則を導き出すことができることは既に示した。」とありますが、これは具体的にはどこのことを指すのか教えていただきたいです(ここかな?というのはあるのですが、いまいち確信が持てません)。
- p301についてはサポートページで訂正しているのですが、出版社の方が訂正しそこなったようです。再度訂正を入れます。 -- 前野?
- 質問については、25ページあたりで「枝分かれも合流もしない」という性質からクーロンの法則$E={Q\over4\pi\varepsilon_0 r^2}$と「電気力線が${Q\over\varepsilon_0}$出る」という性質が整合しているという話がありますが、それを逆にたどればクーロンの法則が導かれることになります。 -- 前野?
- p301の件は、’物理のヒヨコ’さんが、この掲示板で、2014.1.20 に指摘されているのを見つけました! -- 小笠原?
p97その他について †
小笠原? (2024-06-29 (土) 21:20:30)
p247 L2 「小数の金属」→「少数の金属」
P243 L4 「原子分子一個の状態では磁性ではない」→「磁性はない」「反磁性ではない」の間違い?
p26w (E.81)の右辺第2項 ルートの中身の最後のmが余分?
p214 演習8-4 (8.56) の1つ前の行
「まず(8.54)にnl=1 を掛けたのち、(8.55) の置き換えを行うと」
とする方が、分かりやすいのではないでしょうか?
p96〜7 ボートの周回で、図では上の方で左に動くとき、損得なし、と書いているのに、右ページの計算では、マイナスになっているのは矛盾しているように思えるのですが、どう考えれば良いでしょうか(質問です)
- 最後の質問ですが、図はあくまで一例です。上の辺では流れとボートの移動が垂直なのでたまたま損得なしです。一方計算の方は一般的な話なので、$V_x$が0とは限りません(図は$V_x=0$の特殊な場合を考えてたことになります)。 -- 前野?
- p243については「磁性はない」の間違いでした。 -- 前野?
p39について †
学生? (2024-06-03 (月) 16:32:23)
球殻の電場の計算で、表面(r=z)の時はσ/2ε0 とありますが、どのように導けばよいのでしょうか? 厚さを考えることまでは分かったのですが…
宜しくお願いいたします。
- 本文に書いてある通りで、(1.30)の最後の式にz=rを代入するだけです。厚さを考える必要もありません(すでに式は出てるので)。 -- 前野?
- 本文に書いてある通りで、(1.30)の最後の式にz=rを代入するだけです。厚さを考える必要もありません(すでに式は出てるので)。 -- 前野?
電磁気最強 †
電磁気で東大目指すニキ? (2024-04-26 (金) 19:48:22)
前野先生、この度はこのような最高の本を出版していただき誠にありがとうございます。個人的に静電界の分極や誘電体についての分野が分かりませんでした。どのサイトや本を見ても理解できなかったのですが。この本を読んでやっとわかりました。まだまだ分からないことだらけですので日々勉強していきたいと思います。
4.1.1 導体表面の電場E ( P137 ) †
学生ts? (2024-02-22 (木) 10:32:28)
・・・導体表面の場合、内側には電気力線は出ないので、電場Eの強さは2倍になる。;
とありますが、導体表面の電荷が出す力線は内側にも出ているが外部電場と相殺
されているだけで、出ていないように見えるのではないでしょうか? そうすると外側に出る力線は1/2になりますが、この辺が疑問です。宜しくお願いいたします。
- これはどちらの見方も正解です。電気力線は全部外に出たと考えてもいいし、中に半分外に半分出て、中は消えて外は強めあったと考えても、結果は一緒です。 -- 前野?
- あ!なるほどそういう意味ですか。スッキリしました。ありがとうございます。 -- 学生ts?
起電力について †
田中? (2023-12-20 (水) 01:14:01)
p.162,163の「結果として両極間には電位差が生まれる。電池が作り出す電位差を「起電力」と呼ぶ。」を「妖精さんが単位電荷に対してする仕事を「起電力」と呼ぶ。」に修正するとありましたが、どちらにせよ、電池の両極で電荷の偏りがあって、それにより電位差が生じていることは変わりないということでいいでしょうか。
また、そもそも電池の両極で電荷の偏りが生じる理由は、どのように示すのでしょうか。
- 電位差が生じる理由は電荷に偏りができたからで構いません(電位差と起電力は状況によってはイコールとは限らない)。なぜ偏りが生じたかというと、化学反応です。ただ、その化学反応の中身と化学反応がどのように電荷を偏らせるかについては化学または熱力学の範囲なので、この本では書いてません。 -- 前野?
- 分かりました。そうなるとp.267の単極誘導でローレンツ力により導体の中心部と円周部で電位差(電荷の偏り)が生じる理由も、熱力学の範囲になるのでしょうか。 -- 田中?
- ローレンツ力は当然ながら電磁気ですので、電磁気の範囲です。 -- 前野?
- それでしたら、単極誘導でローレンツ力により導体の中心部と円周部で電位差電荷の偏り が生じる理由を教えて頂けないでしょうか。 -- 田中?
- 「ローレンツ力により」では不足な部分はどこでしょう?? -- 前野?
- 単極誘導の話は269ページあたりにあります。 -- 前野?
- 「ローレンツ力が働いて、電子を中心方向に引っ張る」までは分かるのですが、そこが「中心部の電位を下げ、円周部分の電位を上げる」(これは電荷の偏りが生じるという意味ですよね)と結びつかないです。例えば回路が開放されていて電子の移動に限界があるのなら、ホール効果と同様、ローレンツ力の下電荷の偏りが生じるのも理解できるのですが、今回は電流が定常的に流れているので電荷の偏りが生じる必要性が分からないです。 -- 田中?
- 最終的に「電流が定常的に流れる」状態に落ち着かなくてはいけないということを考えると、電子それぞれに働く力はつりあわなくてはいけません。電子に働く力は、ローレンツ力、電荷の偏りによって生じた電場による力、抵抗力(金属イオンの格子から受ける)の三つです。抵抗力はオームの法則の電気抵抗の原因です(そのあたりの話は5.2節に書いてある)。 -- 前野?
- 電池と抵抗がつながれているときでも、化学反応が電荷の偏りを作った結果、化学反応による力、電荷の偏りによって生じた電場による力、抵抗力の三つがつりあった状態で定常電流になります。電池(あるいは、単極誘導において電池の役割をしている回転している導体)の内部抵抗を無視する場合なら、電池内(または回転する導体内)では抵抗力抜きの二つの力がつりあってます。そうなるように電荷の偏りが調整された結果、定常電流になるわけです。 -- 前野?
- 「回路がつながっているから偏りが生じない」と考えてしまうと、電池または回転導体の中では電子が加速することになって「定常状態」にならないわけです。 -- 前野?
- なるほど、確かに電子が加速すると場所によってIが異なって、𝜕𝜌/𝜕𝑡≠0になってしまいますね。ありがとうございます。 -- 田中?
演習問題3-7 †
高木? (2023-12-08 (金) 15:31:13)
演習問題3-7の回答中にある、面積要素はどうやって導出したかお教えください。
- 問い3-3の解答に出てくるのと同じですので、問い3-3の解答を参照してください。 -- 前野?
- ありがとうございました。 -- 高木?
講義録へのリンク が開けない †
山田? (2023-12-07 (木) 15:59:27)
すみません、電磁気と関係ないのですが、前野先生の、「講義録へのリンク」が開けないのですが直していただけますでしょうか。
先生の波動論のPDFを読みたいのですが、ページに入れなくて見れない状況です。。。
- 今サーバが落ちてる状況で復旧中です。来週には治ってるといいんですが。 -- 前野?
- マジですか。。お手数おかけして申し訳ないのですが、波動論のPDFをこちらに貼っていただくことは難しいでしょうか? -- 山田?
- マジですか。。お手数おかけして申し訳ないのですが、波動論のPDFをこちらに貼っていただくことは難しいでしょうか? -- 山田?
- 復旧作業に入ってますのでお待ち下さい。 -- 前野?
- 了解です。お返事ありがとうございました。 -- 山田?
- すみません、復旧の目処は立ちましたでしょうか? -- 山田?
- すみません、復旧の目処は立ちましたでしょうか? -- 山田?
- 目処が立ちませんので、避難場所として、http://irobutsu.a.la9.jp/fromRyukyu/wiki/index.phpを作ってます。とりあえず波動論のPDFは今でもアクセルできるようになってます。 -- 前野?
- 本当にありがとうございます。ありがたく勉強させていただきます。 -- 山田?
物質中の電場のエネルギーについて †
大学生? (2023-12-02 (土) 11:32:00)
こんにちは。物質中の電場ではエネルギー密度が(1/2)DEになると書かれていると思うのですが、これは真電荷の電位によるエネルギーを部分積分などをして変形すれば導かれるのだと思います。これに関する質問なのですが、このとき分極電荷が持つエネルギーは考えなくて良いのでしょうか。
分極電荷のエネルギーまで考えるとエネルギー密度は(1/2)ε_0E^2となると思います。
なぜ分極電荷のエネルギーは考慮しなくて良いのか教えていただきたいと思います。
- (4.24)式のすぐ下に書いてあるように、分極する電荷の持つエネルギーを足し算した結果が1/2DEです。だから、考慮しています。 -- 前野?
- 返信ありがとうございます。僕も最初はそれで納得していたのですが、よくよく考えると分極のエネルギーは-PEなので、むしろ分極のエネルギーを引いているのではないかと思いました。 -- 大学生?
- 私の本では分極の持つエネルギーは${1\over2}\vec P\cdot\vec E$で、これが${1\over2}kx^2$のバネのエネルギーと考えられる、と書いてあるのですが、-PEってのはどういう話でしょう?? -- 前野?
- 返信ありがとうございます。少し混乱しているのは、電場が分極を起こす時、電場がする仕事は正なので、蓄えられるポテンシャルは-がつかないといけないのではないかと思っています。 -- 大学生?
- そして、分極電荷のエネルギーというのが真電荷と同じように、 -- 大学生?
- そして、分極電荷のエネルギーというのが真電荷と同じように、 -- 大学生?
- また、(1/2)ρ_dVと表されるのなら、部分積分を行うと-(1/2)PEとなるように思います。 -- 大学生?
- ${1\over2}\rho V$(これを部分積分すると、${1\over2}\vec E\cdot\vec D$になります、$-{1\over2}\vec P\cdot\vec E$ではなく)、というのは「他の系から仕事をされた結果としてその系(分極電荷含む)が持つことになったエネルギー密度」です(誰が仕事をしたかとか考える必要はありません、結果としてそこにあるエネルギーです)。 -- 前野?
- その「系の持つエネルギー」の中に分極を起こしている媒質の${1\over2}kx^2$にあたるエネルギーが入っている、ということを(4.24)式のあたりで説明してます。 -- 前野?
- 何度もありがとうございます。誘電体内の弾性体のようにエネルギーが蓄えられるイメージは理解できたと思うのですが、やはりエネルギーを導く過程でなぜ真電荷のみに注目するのかがわからないです。 -- 大学生?
- Texが打てなくて申し訳ないのですが、上で書こうとしていたのはρ_dすなわち、分極電荷で、このときρ_d=-divPとなるので上の式自体は(1/2)ρ_dΦ=-(1/2)PEになると考えて書きました。 -- 大学生?
- 以下の説明で答えになるのかどうかちょっと不安ですが…。なぜ真電荷だけが問題になるかというと、人間の手で操作できる(動かしたり増やしたり減らしたり)できるのは真電荷の方で、分極電荷は真電荷を配置したことによって発生する(勝手に動かせない)量だからです。動かせるものならそれは真電荷の方に入れるべきです。 -- 前野?
- 分極電荷の方は、人間(よく考えたら人間でなくてもいいですが)が操作した真電荷の配置に依存して自然と、勝手に決まるものです。そして、真電荷の配置によってどんなエネルギーがそこに蓄えられるかを考えると、真電荷に働く力(電場によって決まる)によって決まるので、電位Vとρ(真電荷)によって決まる、というのが${1\over2}\rho V$です。Vがどうなるかの中に分極電荷の配置の影響も入ってます。 -- 前野?
- ばねのエネルギーのアナロジーで行くと、バネの場合の操作できる変数は$x$(自然長からののび)です。ばねを構成している原子配置からくるエネルギーは${1\over2}kx^2$に含まれてます(原子配置が$k$を決めると考えてもよいかも)。つまり、微細構造の影響も全部ひっくるめたエネルギーを考えてます。同様に、${1\over2}\vec E\cdot\vec D$は、電場そのもののエネルギー${\varepsilon_0\over2}|\vec E|^2$と、分極によるエネルギーの両方を含めた結果です。 -- 前野?
- エネルギーは何を持って決められるべきかというと「外部から(電場からではなく)仕事をしたことによってどれだけ増減するか」ですが、それを求めた結果が外部から変更できる変数であるρと、ρおよびその場にある分極する物質の影響全部を受けて決まるVに依存した式になってます。 -- 前野?
- 丁寧な説明をありがとうございます。分かりかけてきたような気がします。つまり、外部から操作できるのは真電荷のみであり、仕事をできるのも真電荷に対してだけだから、エネルギーは(1/2)ρVとなるということでしょうか。 -- 大学生?
- その真電荷の操作によって電場と分極がどれだけエネルギーを持つか、ということを両方いっぺんに計算しているのが${1\over2}\rho V$だということです。 -- 前野?
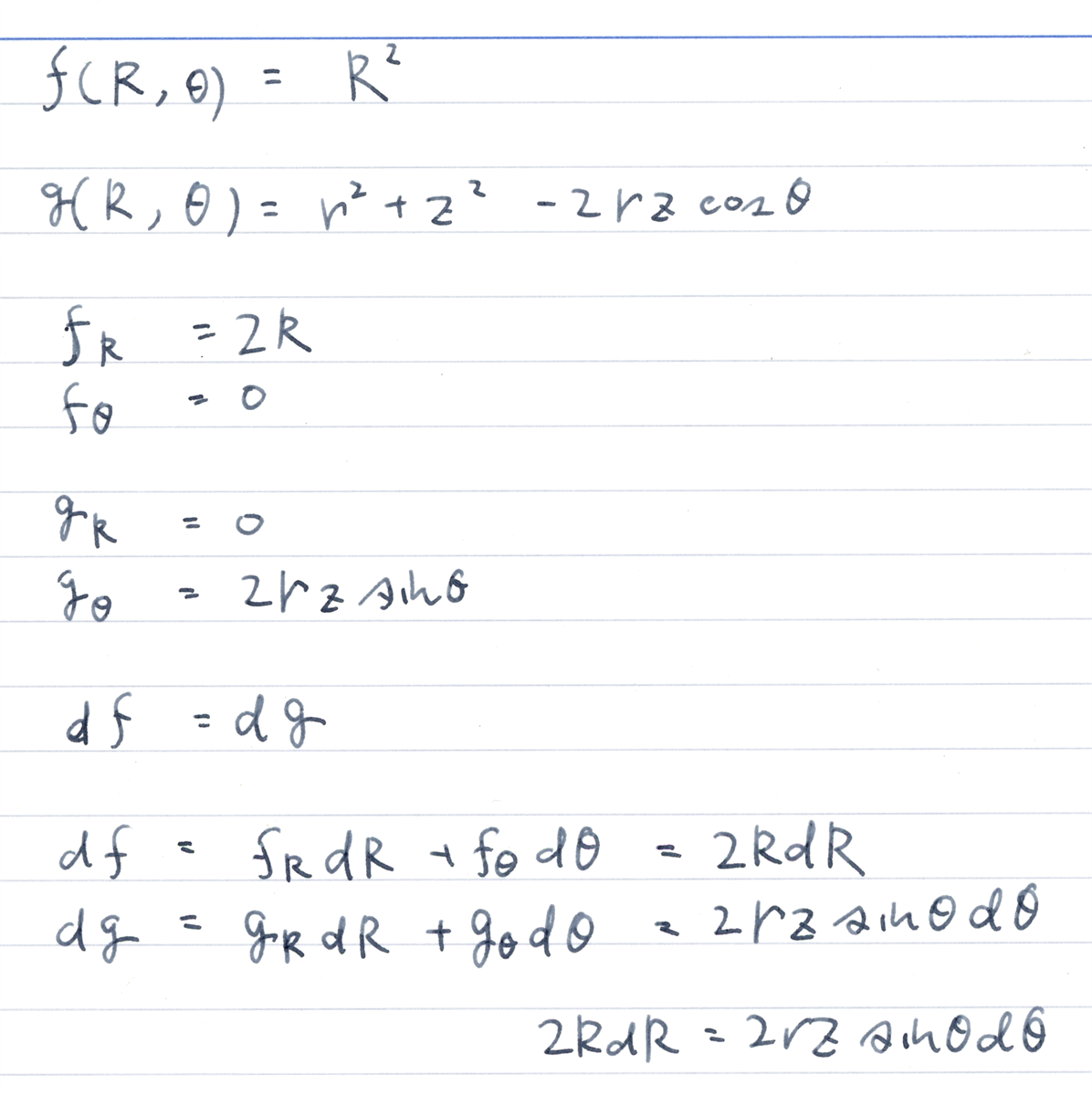
1.5.3球殻上の電荷による電場の微分のしかたについて †
理工系大学1年? (2023-10-19 (木) 00:09:46)
お世話になります。
秋学期の講義で電磁気学が始まりましたので本書を使って自習しています。
P.38(掲題)のところで
R^2 = r^2 +z^2 - 2rz cosθ
(微分)
2R dR = 2rz sinθdθ
とあります。
ここの微分の仕方がわかりません。
左辺はd/dRで、右辺は d/dθをしているようなのですが、両辺にdR とdθが残っています。
どのような計算をするとこうなるのでしょうか?
両辺をそれぞれ全微分とかだと他の独立変数の微分が残りますし、チェーンルールとか偏微分とかを当てはめてもうまくいきませんでした。
「両辺を微分」を詳しく教えて頂けますか?
もしくは検索キーワードだけでもあればうれしいです
- 「微分する」という言葉は「微小変化を考える」という意味にも使います。ここでやっているのは、$R^2=r^2+z^2-2rz\cos\theta$という式とそれを微小変化させた$(R+\mathrm dR)^2 = r^2 + z^2-2rz\cos(\theta +\mathrm d\theta)$の差を取ってます(そういう意味では全微分してます)。 -- 前野?
- rとzは今の状況では変化させてませんから定数扱いです。 -- 前野?
- お忙しいところ回答ありがとうございます。
「微小変化の式の差をとる」というところで右辺のcos(θ+dθ)の扱いをどうすればいいか良くわかりませんでしたが「全微分してます」ということで、私なりに式を書いてみました。
全微分はちゃんと理解できてないのですが、以下の式は間違っていないでしょうか? -- 理工系大学1年?
- はい、これでいいですよ。 -- 前野?
- スッキリしました。ありがとうございました -- 理工系大学1年?
アンペール力とローレンツ力について †
高校で物理を教えている者? (2023-09-27 (水) 19:50:13)
返信ありがとうございます。この論文では導線内の磁束密度を求めています。これは電流のつくる磁束密度と磁化電流のつくる磁束密度と外部磁場の作る磁束密度の和になっています。そしてこの導線内の磁束密度が電流と磁化電流に及ぼす力の和を求めています。この中の力で電流のつくる磁束密度が磁化電流に及ぼす力と磁化電流のつくる磁束密度が電流に及ぼす力が打ち消すとしてもそれはこの計算で消えるのでこのやり方で正しいと思います。なぜこの計算でアンペール力が導出できないのか、何を見落としているのかが気になります。高校の教科書の記述はどれをみても導線の外と中の磁束密度を同じとしてローレンツ力を導出しています。
- ちょっとおっしゃってることの意味が取りづらいのですが、(1)「外部磁場」と(2)「分子電流による磁場」と、さらに(3)「動く電荷のつくる磁場」ががあって、(2)による力が動く電荷に及ぼす力と、(3)による力が「分子電流を作っている分子」に掛かる力は作用反作用で逆向きなので「導線全体」(中で動く電荷+分子)にはたらく力を考えると消える、という点は同意しているのですよね? 「導線によって働く力」を考えると、(1)だけを考えればよい、という考えでは駄目ですか? -- 前野?
- 返答ありがとうございます。磁場を(1)と(2)と(3) -- 物理を高校で教えている者?
- 返答ありがとうございます。磁場を(1)と(2)と(3)に分けて -- 物理を高校で教えている者?
- 返答ありがとうございます。磁場を(1)と(2)と(3)に分けてそれぞれが電流と分子電流に及ぼす力を導線の単位長さあたりで積分すると、確かに(2)が電流に及ぼす力と(3)が分子電流に及ぼす力は打ち消します。この積分で0にならないのは、(1)が電流に及ぼす力と(2)が分子電流に及ぼす力になります。そしてこの力の合計は論文の力の合計とおなじになります。(2)が分子電流に及ぼす力が0であればこれはアンペールの力と一致するようですが、私の計算では表面電流の項などが分子電流にあるために0になりません。(2)が分子電流に及ぼす力は磁束密度自己力なので0になっていいような気もしますが、計算すると0にならないようです。 -- 物理を高校で教えている者?
- (2)が分子に与える力が0でないとすると、「自分で自分を引っ張れる」ことになるから、それは変ですよねぇ。。。 -- 前野?
- 論文の中で導線の中の磁束密度が与えてありますが、これから外部の一様な磁束密度と伝導電流がつくる磁束密度を引いたものB3 -- 高校で物理を教えている者?
- とすると、この中には導線内の磁化電流のつくる磁束密度と外部磁場により導線が磁気分極したことによる磁束密度 -- 高校で物理を教えている者?
- の和となっています。最後の磁束密度は導線内で強さも向きも一様なのでこの磁束密度は導線内に電流をつくりません。このふたつの磁束密度が論文で与えてある磁化電流にあたえる力を計算すると、一様な磁気分極の作る磁束密度が内部の磁化電流に与える力と、これが導線表面の磁化電流に与えるは同じ大きさですが向きが逆です。さらに磁化電流が作る磁束密度が表面での磁気分極による電流に与える力も先程の力と同じ大きさで同じ方向です。そしてこの3つの力を加えると2つは打ち消しますが、一つ分残ってしまいます。導線全体が3つの磁束密度から受ける力の合計は論文の結果と同じです。もし、磁化電流や磁気分極による磁束密度が磁化電流に及ぼす力がゼロになれば、導線に働く力がアンペール力に一致するのですが。 -- 高校で物理を教えている者?
- 磁化電流は導線内部を流れる電流と導線の表面を流れる電流の2つの部分があります。内部を流れる電流には導線内部の磁束密度が力を与えますが、表面電流は半分が導線内部、残りの半分が導線の外部に接しているので、表面電流の半分が導線内部の磁束密度から力を受け、残りの半分の表面電流は導線外部の磁束密度から力を受けると考えて計算すると磁化電流が磁化電流と磁気分極の作る磁束密度から受ける力はゼロになります。このように考えると 導線の伝導電流と磁化電流が磁束密度から受ける力の合計はアンペール力と同じになります。このような理解でよいのでしょうか。 -- 物理を高校で教えている者?
- 磁荷電流を「導線内部」と「導線表面」に分けるというのがちょっとわかりません。私の理解では、磁荷電流というのは非常に小さな回路(たとえば、半径が原子サイズ以下に小さい円電流)であって、一様に分布していると(となりの円電流と打ち消し合うので)流れてないのと同じ。表面だけは「となり」がないので打ち消し合わない(もっと一般的には、磁化電流の分布が場所に違うとその分打ち消し合わないで電流が残る)というものです。つまり「表面の電流」は「内部に分布している磁化電流が(そこから外になるとなくなるというので場所に依存するので)残った結果」です。 -- 前野?
- 「表面電流の半分」というのが、「磁化電流のうち『外』に接している部分」ということなら、「内側の磁化電流と消し合ってない部分」という解釈なんでしょうか(ちょっと判断できないですが)。 -- 前野?
- 上のような考え方からすると、磁化による分子電流というのはミクロな円電流の集まりなので、円電流と円電流に働く力が作用反作用の法則を満たしていると、分子電流同士の力は「内力」になるように思われます。 -- 前野?
- 丁寧にお答えいただきありがとうございます。ここでは数式を表示しにくいので琉球大学の前野先生にレターパックで私の考えを書いた文書を昨日送らせていただきました。おいそがしいと思いますが、一読していただけると嬉しいです。 -- 高校で物理を教えている者?
- レターパックの中に高校生の書いた原論文のコピーを入れ忘れていました。今日中に送らせていただきます。 -- 高校で物理を教えている者?
- レターパックの方届いております。少し自分でも計算してみましたので、結果が出たら送りますね。 -- 前野?
- 詳しい計算を送っていただきありがとうございます。アンペールの力を導く計算方法は理解しました。私自身はこれは表面電流の外側に面している半分の電流は外側の磁場から、内側に面している半分の電流は内側の磁場から力を受けると考えるといいのではないかと考えています。お忙しい中返信ありがとうございます。 -- 物理を高校で教えている者?
アンペール力とローレンツ力について †
物理を高校で教えている者? (2023-09-26 (火) 17:29:11)
電流Iが磁場から受ける力はB0ILと表されこれをアンペール力いうようです。ただしB0は導線の外での磁束密度です。これを導線内を運動する電子が磁場から受けるローレンツ力evBの和という記述はどの教科書にも記載してあります。しかし導線の中の自由電子が感じるのは導線の中の磁束密度でこれは導線の外の磁束密度とは異なっています。これを考慮して自由電子が磁束密度から受ける力を合計してもB0ILという式は出てきません。導線内に流れている磁化電流も導線内の磁束密度から力を受けていると考えてこの力をくわえてもアンペール力の式とは一致しません。これはノーベル賞への第一歩物理論文国際コンテストの受賞論文に記載されていた内容です。これを前野先生に質問するのはどうかと思いましたが、高校で
物理教える者として大変気になっています。物理法則を用いて導線の受けるアンペール力を導出する 道筋を教えていただけると大変感謝いたします。
P62 ガウスの法則の微分形 ( 2.14 ) †
ck? (2023-08-25 (金) 16:22:45)
単位を計算すると、左辺は kgm/cs<2、右辺はkg/cs<2 となると思うのですが。
- divはx,y,zによる微分なので、${1\over 長さ}$の次元(単位にすると1/m)を持ってますが、それを忘れてませんか? -- 前野?
- あ!なるほどそうでした。ありがとうございます。 -- ck?
p228.229 ベクトルポテンシャル †
ウロボス? (2023-07-18 (火) 11:31:23)
以下の理解でよいでしょうか?
(1)p228 電流に近づくほど位置エネルギーはより低くなる(ベクトルポテ
ンシャルのマイナスの値はより大きくなる)
(2)電流を正電荷として説明されていますが、電流の実態は電子の動きなの
で、上記(1)の現象を考えれば、電流を負電荷としたほうが、実態に
則していて理解しやすいと感じるのですが。だめでしょうか?
宜しくお願いします。
- 電流が正電荷でできてようが負電荷でできてようが現象としては一緒なので、理解しやすいと思う方で理解すれば良いことだと思います。 -- 前野?
- 大事なのは「同行電流は引き合う」という物理的事実です。それは正電荷の流れでも負電荷の流れでも違わない。 -- 前野?
- 大事なのは「同行電流は引き合う」という物理的事実です。それは正電荷の流れでも負電荷の流れでも違わない。 -- 前野?
- 早速ご回答いただきありがとうございました。 -- ウロボス?
ローレンツ力とファラデーの法則について †
初学者? (2023-06-20 (火) 22:14:38)
一般的な誘導電力の問題において、例えば単極モーターなどではV=-dΦ/dtでそのまま考えても導けませんが、この場合はローレンツ力を考えてE=rωBとして考えたり、仮想的に一本の半径をとって回路を考えて磁束の変化から考えるという二つの方法があると思います。このように考えると、ローレンツ力がファラデーの法則と独立でないようにも思えるのですが、このような議論は正当化されるでしょうか。それともこれらは根本的に違うもので、二つのアプローチでたまたま答えが同じになるということなのでしょうか。よろしくお願いします。
- 質問の意図がちょっとつかめないのですが、本の中に、ローレンツ力とV=-dΦ/dtの関係についてはちゃんと書いてあります(つまり独立じゃないです)。 -- 前野?
9.3.3ホール効果についての説明 †
た? (2023-04-23 (日) 22:56:53)
磁場が電流に及ぼす力を、陽イオンが電場から受ける力として説明していますが、陽イオンが電場の元となる電子からクーロン力を受けると同時に、陽イオンも電子にクーロン力を及ぼしていると思います。従って結局それらの力は内力として打ち消し合い、導線は力を受けない気がするのですが、どこが間違っていますか。
- 雑に略記すれば下の図のような感じです。この「箱(正電荷)」と「電子(負電荷)」を一体としてみれば、確かに電場の力eEは内力ですが、「箱(正電荷)」の立場で見れば電場の力eEは上向きの力です。 -- 前野?
- 「電子」の立場では力が打ち消し合っていますが「箱」の立場では力は打ち消していません。「箱+電子」の立場では内力は打ち消し合っていますが外力であるevBは残ります。 -- 前野?
ポアッソン方程式の境界条件について †
田中? (2023-03-25 (土) 00:07:14)
第4章の鏡像法について質問です。4.2.1の点電荷と平板導体における電位のポアッソン方程式の境界条件は、「x=0と無限遠でV=0」で境界が全て網羅されているのに対し、4.2.1の平行電場内に置かれた導体球の境界条件は「r=RでV=0」だけで、無限遠での境界条件が考慮されていない気がします。
ここではどうやって「導体表面に電荷ができている状態」と「内部に電気双極子が隠れている状態」の(ポアッソン方程式の解としての)電位が一致することを保証していますか?
- 平行電場内に置かれた導体球の場合でも、無限遠で$V_z=-Ez$になるという条件は揃えられてます。 -- 前野?
- 確かにそうでした。ありがとうございます. -- 田中?
平行平板コンデンサの蓄えるエネルギーについて †
田中? (2023-03-20 (月) 23:46:07)
3.6.4節の最初に「静電気力の持つ位置エネルギーは1/2qVで表現される」とあり、これは(3.87)式が根拠になっていると思うのですが、自身の作る電位を勘定しないというのが条件でした。
しかし、続く(3.96)式の左辺ではV、V+V0が共に2極板による電位の重ね合わせであるのにも拘わらず、(3.87)式に直接代入しているように見えます。確かに答えの1/2QVが合っているのは分かるのですが、この立式に正当性はあるのでしょうか。
自分でも色々考え違いをしていそうなので、教えて頂けると幸いです。
- コンデンサの場合の電荷Qというのは、面に広がっていて、一点に集中しているわけではありません。面の中の微小面積ΔSの中に電荷ρΔSがいるとして、ρS=Qが成り立っているという感じです。その微小面積ΔSが電位Vになっているとして、その電位を作っているのは「その場にいるρΔSという電荷以外」です(ΔSはもちろん、後で→0の極限を取ります)。以上のように考えれば、3.87式とやっている計算は全く同じです。 -- 前野?
- なるほど、理解できました。ありがとうございます。 -- 田中?
『よくわかる電磁気学(第13版)』p5の遠隔作用と微分方程式の説明につきまして †
学生? (2023-02-04 (土) 21:37:46)
こんばんは.最近物理学を学習し始めた者です.
『よくわかる電磁気学(第13版)』のp5に記述されている「遠隔作用を考えている場合,(中略)微分方程式では法則を書き表すことができない.」という記述を納得するために,具体例を考えていました.
しかし自分の理解が正しいのかを私自身で判断できなかったため,以下の私の解釈の正誤,また間違っている場合にはどこが誤りであるかをご指摘いただけると幸いでございます.
なお恥ずかしながら私はTexの使い方が分からず,また長文での説明になりますことを失礼いたします.
【具体例の問題設定】
以下は遠隔作用(すなわち場を介さない考え方)に則った議論であることを予めことわる.
ある直線上に二つの単位正電荷を距離rだけ離して置き,その一次元運動を考える.この距離rだけ離れた状態を時刻t=0とする.一方の電荷はある一点上に固定され,もう一方の電荷は他方の電荷から離れる向きに速さv(=一定)で運動する.
ここで二つの電荷を結んだ直線に沿って座標軸xをとり,等速度運動をする電荷の運動の向きをx軸方向正の向きとする.また,時刻t=0における等速度運動をする方の電荷の位置を原点とする.
【自分の解釈とその経緯】
クーロンの法則に従うと,時刻t=0における二つの電荷に働く静電気力の大きさFは,kを定数として,
F=k/r^2
で表されます.
また一方の電荷は等速直線運動し,他方の電荷は固定されているから,時刻tにおいてこれら二つの電荷に働く力を順にF1,F2と表すと(すなわち動く電荷,止まっている電荷の順に表すと),
F1=k/(vt+r)^2
F2=−k/(vt+r)^2
となります.
ゆえにそれぞれの力を時間微分すると,
dF1/dt=−2kv/(vt+r)^3
dF2/dt=2kv/(vt+r)^3
となるので,以下の様な微分方程式が導かれると考えました.
dF1=−2vF1/(vt+r)
dF2=−2vF2/(vt+r)
この様に,はじめは「微分方程式が出てきてしまった?」と思っていたのですが,自分なりに再度考えてみました結果,私の上記の考え方は,
(1)F1についての微分方程式は,他方の電荷と距離rだけ離れているという情報を使っている.
(2)F2の微分方程式は,動く電荷の運動に関する情報を使ってしまっている.
(3)少なくともF2に至っては"空間的に局所的な物理量とその変化率"に関する方程式ではない.
という3点で誤りがあるという考えに至りました.
また上記の(3)の考えから派生して,"局所的"という言葉は,少なくとも電磁気学においては"空間として"局所的("時間として"局所的なわけではない)という理解でよろしいのでしょうか.
お手数おかけしますが,ご回答をお待ちしております.
- 申し訳ございません.一番最後に導いた結果として記述した,2つの微分方程式の左辺はdF1/dt,dF2/dtであり,F1,F2の時間微分でございます.失礼いたしました. -- 学生?
- 度々失礼いたします. -- 学生?
- 度々失礼いたします. -- 学生?
- 度々失礼いたします. -- 学生?
- 度々失礼いたします.誤って同じ言葉を複数回送信してしまい申し訳ございませんでした.上記の質問につきまして,自分の質問した内容が如何にひどい勘違い・間違いであるかを理解しました.したがって上記の質問内容を取り下げさせていただきます.大変失礼いたしました. -- 学生?
よくわかる電磁気学の章末問題の解答pdf †
ちっち? (2023-01-27 (金) 21:42:57)
電磁気学の章末問題のヒント、解答のpdfが開けず、
最初の1ページの画像のみ出てきます。
ご対応いただけますでしょうか。
- こちらではちゃんと見えているので、、修正するために、どのような環境でどのソフトで見るとそうなるのか、教えてください。 -- 前野?
- ipadでSafariから東京図書様のhpにアクセスし、ダウンロードを試みたのですが、pdfが出てこない状態です。 -- ちっち、?
- ブラウザを変えてみたところ解決いたしました。お手数おかけして申し訳ございませんでした、、。 -- ちっち?
p121-122の、自分自身の作る電位を勘定入れない、という注意書きがなぜ必要ないのかの議論 †
こめお? (2023-01-06 (金) 16:34:03)
題名に書いた議論が理解できません。
まず、p122にある微小領域のサイズとは何を指しているのでしょうか。
- 少し上の(3.88)で、電荷の位置エネルギーの和を「微小領域の電荷の和(積分)」に置き換えてます。だから(3.87)では「各点各点にある離散的な電荷による位置エネルギーの和」だったものが「微小領域にある電荷による位置エネルギーの和(ということはつまり積分)」に置き換わったわけです。 -- 前野?
- 離散的な電荷による位置エネルギーの足し算をするときは条件 i≠j をつけて足し算する必要があった(でないと発散するから)けど、「積分」ではそれはいらない、というのがここでの議論です。 -- 前野?
- 微小猟奇のサイズというのはdx,dy,dzのどれかのことです。微小領域を立方体とすればどれでも同じです。微小領域を立方体として考えれば、体積は立方体の辺の三畳になります。 -- 前野?
これより古い記事は
にあります。